Turbulence in Magnetised Neutron Stars

Preprint, arxiv:2506.08037

Posted by MagoMerlino on June 04, 2025 · 1 min read

The magnetic field configuration in the interior of neutron stars and its stability are open problems and may be impacted by the influence of a turbulent cascade within the star. Assessing the impact of turbulent flow with numerical simulations requires incredibly high resolution as well as long lived simulations covering multiple Alfven times.

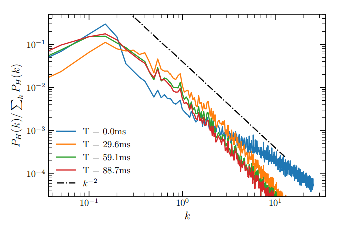
In 2506.08037 we present a series of simulations of magnetised neutron stars with resolution up to 29m and lasting at their longest 1.2s to assess this issue, the longest lasting and highest resolution such simulations to date. At the highest resolution we find evidence for a turbulent cascade absent in an unmagnetised star which cannot be captured with lower resolution simulations, consistent with Kolmogorov power law scaling. The presence of turbulence triggers an inverse cascade of helicity, while at late times the net helicity appears to vanish, suggesting that a twisted-torus is not formed in the magnetic field. We find that the presence of the magnetic field excites a characteristic quadrupolar oscillation of the density profile at 145 Hz, consistent with Alfvenic modes proposed as the source of quasi-periodic oscillations observed in magnetars.


image-Turbulence in Magnetised Neutron Stars
Evolution of helicity spectrum and inverse turbulent cascade.